Foundation Mathematics

1017SCG

Week 7


Topics for Week 7


  • Graphing linear equations
  • Finding the equation of a linear graph
  • Graphing quadratic equations
  • Solving simultaneous equations




Graphing linear equations

$y = 2x+1$

$x$ $-3$ $-2$ $-1$ $0$ $1$ $2$
$y$ $-5$ $-3$ $-1$ $1$ $3$ $5$

When $x=-3,$

$\quad y=2(-3)+1$

$\quad \;\;\,=-6+1$

$\quad \;\;\,=-5$

When $x=0,$

$\quad y=2(0)+1$

$\quad \;\;\,=0+1$

$\quad \;\;\,=1$




Graphing linear equations
Graphing linear equations

Linear Equation → Linear Graph

Standard Form:

$ax+ by + d = 0\,$ with $\,a,b,d$ constants.

Gradient-Intercept Form:

$y = mx + c\,$ with $\,m,c\,$ constants.

• $m$ is the gradient.  

• $c$ is the $y$-intercept.



What is the Gradient? 🤔

👉 $y = mx + c$

$m= \text{gradient}$ $= \dfrac{\text{opp}}{\text{adj}}$ $= \tan \theta$


What is the Gradient? 🤔

👉 $y = mx + c$

$m= \text{gradient}$ $= \dfrac{\text{opp}}{\text{adj}}$ $= \tan \theta$


What is the Gradient? 🤔

👉 $y = mx + c$

$\text{gradient}= \dfrac{\text{opp}}{\text{adj}}=\tan \theta$
$\text{gradient}= \dfrac{\text{Change in }y}{\text{Change in } x}$ $=\dfrac{\Delta y}{\Delta x}$

The second expression is often used in science!

🚀
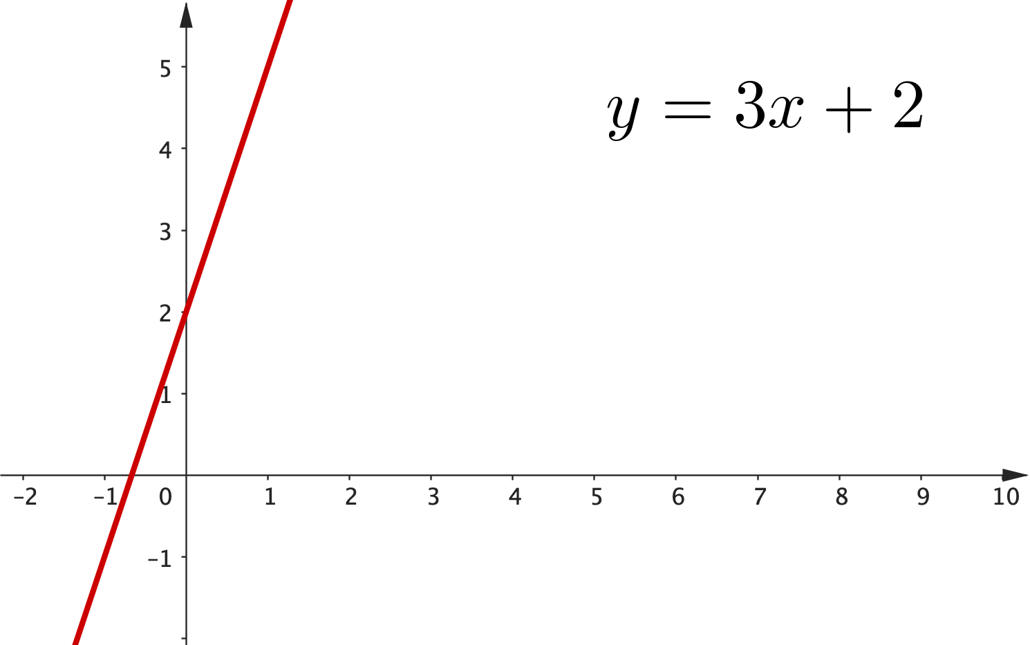
Example 1: $\,y=3x-3$

Example 1: $\,y=3x-3$

Example 2: $\,y=-\dfrac{1}{2}x+1$

Example 2: $\,y=-\dfrac{1}{2}x+1$

Example 3: Special cases

Case 1:

$y=3$

$y=0\times x + 3$


Case 2:

$x=-2$




Example 3: Special cases

Case 1:

$y=3$

$y=0\times x + 3$


Case 2:

$x=-2$




Finding the Equation of a Line

Previously

Give the
linear equation:

$\;\;y=3x-3$ $\rightarrow$


Finding the Equation of a Line

How can we obtain the equation of any line? 🤔


Finding the Equation of a Line

😃 Through 2 points, we can always draw a straight line!



Finding the Equation of a Line

Consider the following two points $(x_1,y_1)\,$ and $\,(x_2,y_2)$


Finding the Equation of a Line

👉 Consider $(x_1,y_1)$ and any other point $\,(x,y)$


Finding the Equation of a Line

👉 $\;m = \dfrac{y-y_1}{x-x_1}\;\;$ and $\;\;m = \dfrac{y_2-y_1}{x_2-x_1}$

$\Ra\; \dfrac{y-y_1}{x-x_1}$ $=$ $\dfrac{y_2-y_1}{x_2-x_1}$
$\Ra\; y-y_1 $ $=$ $\dfrac{y_2-y_1}{x_2-x_1}\left(x-x_1\right)$
$\Ra \;y-y_1 $ $=$ $m \left(x-x_1\right)$



✨ The equation of a line ✨

$y-y_1 = m \left(x-x_1\right)\;$ with $\;m = \dfrac{y_2-y_1}{x_2-x_1}$

Example 1

Find the equation of the line that has a gradient of 3 and passes through the point $(2,5).$

👉 $\;y-y_1 = m \left(x-x_1\right)$

\(y-5\) \(=\) \( 3(x-2)\)
\(y-5\) \(=\) \(3x-6\)
\(y-5+5\) \(=\) \( 3x-6+5\)
\(y\) \(=\) \( 3x-1 \)


Example 1

Find the equation of the line that has a gradient of 3 and passes through the point $(2,5).$

👉 $\;y = 3 x-1,\;$ when $\,x=2\,$ we have:

\(y\) \(=\) \( 3(2)-1\)
\(y\) \(=\) \(5\;\) ✅
🙂


Example 2

Find the equation of the line that has a gradient of 4 and passes through the point $(-3,-7).$

👉 $\;y-y_1 = m \left(x-x_1\right)$

\(y-(-7)\) \(=\) \( 4(x-(-3))\)
\(y+7\) \(=\) \(4(x+3)\)
\(y+7\) \(=\) \( 4x+12\)
\(y+7-7\) \(=\) \( 4x+12 -7 \)
\(y\) \(=\) \( 4x+5 \)


Example 2

Find the equation of the line that has a gradient of 4 and passes through the point $(-3,-7).$

👉 $\;y = 4 x+5,\;$ when $\,x=-3\,$ we have:

\(y\) \(=\) \( 4(-3)+5\)
\(y\) \(=\) \(-12+5\)
\(y\) \(=\) \(-7\;\) ✅
😀


Example 3

Find the equation of the line that passes through the points
$(-2,-4)\,$ and $\,(3,11).$

👉 $\;y-y_1 = m \left(x-x_1\right),\;$ with $\;m=\dfrac{y_2-y_1}{x_2-x_1}$

\(m\) \(=\) \( \dfrac{(11)-(-4)}{(3)-(-2)} \)
\(m\) \(=\) \(\dfrac{11+4}{3+2} \)
\(m\) \(=\) \(\dfrac{15}{5}\) \(\,=3\)


Example 3

Find the equation of the line that passes through the points
$(-2,-4)\,$ and $\,(3,11).$

👉 $\;y-y_1 = m \left(x-x_1\right),\;$ with $\;m=3$

\(y-(-4)\) \(=\) \( 3(x-(-2))\)
\(y+4\) \(=\) \(3(x+2)\)
\(y+4\) \(=\) \( 3x+6\)
\(y+4-4\) \(=\) \( 3x+6 -4 \)
\(y\) \(=\) \( 3x+2 \)




Example 3

Find the equation of the line that passes through the points
$(-2,-4)\,$ and $\,(3,11).$

👉 $\;y = 3 x+2,\;$ when $\,x=-2\,$ we have:

\(y\) \(=\) \( 3(-2)+2\)
\(y\) \(=\) \(-6+2\)
\(y\) \(=\) \(-4\;\) ✅
😀

Two more important facts about lines!

1. Parallel lines have the same gradient


Two more important facts about lines!

2. If two lines are perpendicular, multiplying their gradients will give -1


Two more important facts about lines!

• If two lines are perpendicular, multiplying their gradients will give -1

$m_1 = 3$

$m_2 = -\dfrac{1}{3}$

$m_1 \times m_2$ $\,= 3\times \left(-\dfrac{1}{3}\right)$

$\qquad \quad\, = -1$



Graphing Quadratic Equations

Graphing Quadratic Equations

Graphing Quadratic Equations

Graphing Quadratic Equations

Graphing Quadratic Equations

$y = ax^2 + bx + c\;$ where $\;a,b,c$ constants

• The $y$-intercept is $c.$

• To find $x$-intercept, let $y=0.$

• Turning point: $x=\dfrac{-b}{2a}.$

👉 $\;x=\dfrac{-b\pm \sqrt{b^2-4ac}}{2a}$



Example 1

$y=x^2 - 4x + 3$

• $y$-intercept $c=3.$

• To find $x$-intercepts,
$\quad$let $y=0$:

$x^2 - 4x + 3=0$

$(x-1)(x-3)=0$

$x=1,\,$ $\, x= 3$



Example 1

$y=x^2 - 4x + 3$

• Turning point:

$x=\dfrac{-b}{2a}$ $ = \dfrac{-(-4)}{2(1)}$

$\quad = 2$

Subs. in quadratic:
$y = (2)^2-4(2)+3$

$\quad = -1$


Example 1

• $y$-intercept:

  🟢 $\,(0,3)$

• $x$-intercepts:

  🔴 $\,(1,0), (3,0)$

• Turning point:

  🟣 $\, (2,-1)$




Solving Simultaneous Equations

Consider

$2x+y = 4$

$x+4y = 9$


Solving Simultaneous Equations

Example 1: Consider the system of two linear equations:

$2x+y = 4$    1

$x+4y = 9$    2

From 2 we solve for $x$:

\( x +4y-4y= 9 + 4y - 4y \qquad \qquad \qquad\qquad \)

\( x = 9 - 4y \) \(\,=\, 9 - 4(2)\) \(\, =\, 1\)

Substitute this value in 1 to solve for $y$:

\( 2(9-4y) + y = 4 \;\) \(\;\Ra \,18 - 8y + y = 4 \)

\( 18 - 7y = 4 \;\) \(\;\Ra \, y = 2 \)


Solving Simultaneous Equations

The system of two linear equations (simultaneous equations)

$2x+y = 4$

$x+4y = 9$

has a solution: $\,x = 1\,$ and $\,y = 2.$

Solving Simultaneous Equations

The system of two linear equations

$2x+y = 4$

$x+4y = 9$

has a solution: $\,x = 1\,$ and $\,y = 2.$

Checking it is correct:

$2(1)+(2) = 4$   ✅

$(1)+4(2) = 9$   ✅

🙂

Final remarks: Solving Simultaneous Equations

Methods to solve simultaneous equations:

  • Substitution method   👈 For Foundation Mathematics
  • Elimination method  👈 Prefer for large systems

\begin{cases} 2x + 3y = 5,\\ 4x - y = 6. \end{cases}

\begin{cases} 2x_1 - x_2 + 3x_3 + x_4 + x_5 = 7,\\ - x_1 + 4x_2 - x_3 + 2x_4 - 2x_5 = -1,\\ 3x_1 + 2x_2 + 5x_3 - x_4 + x_5 = 12,\\ x_1 + x_2 - 2x_3 + 4x_4 + x_5 = 3,\\ x_1 - 3x_2 + x_3 + x_4 + 6x_5 = 8. \end{cases}


A very large system of linear equations 🤓

\[ \begin{eqnarray*} x_1 - 2x_2 + 3x_3 - 4x_4 + 5x_5 - 6x_6 + 7x_7 - 8x_8 + 9x_9 - 10x_{10} &=& 5,\\ -2x_1 + 3x_2 - 4x_3 + 5x_4 - 6x_5 + 7x_6 - 8x_7 + 9x_8 - 10x_9 + x_{10} &=& -7,\\ 3x_1 - 4x_2 + 5x_3 - 6x_4 + 7x_5 - 8x_6 + 9x_7 - 10x_8 + x_9 - 2x_{10} &=& 8,\\ -4x_1 + 5x_2 - 6x_3 + 7x_4 - 8x_5 + 9x_6 - 10x_7 + x_8 - 2x_9 + 3x_{10} &=& -3,\\ 5x_1 - 6x_2 + 7x_3 - 8x_4 + 9x_5 - 10x_6 + x_7 - 2x_8 + 3x_9 - 4x_{10} &=& 12,\\ -6x_1 + 7x_2 - 8x_3 + 9x_4 - 10x_5 + x_6 - 2x_7 + 3x_8 - 4x_9 + 5x_{10} &=& -9,\\ 7x_1 - 8x_2 + 9x_3 - 10x_4 + x_5 - 2x_6 + 3x_7 - 4x_8 + 5x_9 - 6x_{10} &=& 14,\\ -8x_1 + 9x_2 - 10x_3 + x_4 - 2x_5 + 3x_6 - 4x_7 + 5x_8 - 6x_9 + 7x_{10} &=& -11,\\ 9x_1 - 10x_2 + x_3 - 2x_4 + 3x_5 - 4x_6 + 5x_7 - 6x_8 + 7x_9 - 8x_{10} &=& 16,\\ -10x_1 + x_2 - 2x_3 + 3x_4 - 4x_5 + 5x_6 - 6x_7 + 7x_8 - 8x_9 + 9x_{10} &=& -13 \end{eqnarray*} \]



A very large system of linear equations 🤓

\[ \begin{eqnarray*} x_1 - 2x_2 + 3x_3 - 4x_4 + 5x_5 - 6x_6 + 7x_7 - 8x_8 + 9x_9 - 10x_{10} &=& 5,\\ -2x_1 + 3x_2 - 4x_3 + 5x_4 - 6x_5 + 7x_6 - 8x_7 + 9x_8 - 10x_9 + x_{10} &=& -7,\\ 3x_1 - 4x_2 + 5x_3 - 6x_4 + 7x_5 - 8x_6 + 9x_7 - 10x_8 + x_9 - 2x_{10} &=& 8,\\ -4x_1 + 5x_2 - 6x_3 + 7x_4 - 8x_5 + 9x_6 - 10x_7 + x_8 - 2x_9 + 3x_{10} &=& -3,\\ 5x_1 - 6x_2 + 7x_3 - 8x_4 + 9x_5 - 10x_6 + x_7 - 2x_8 + 3x_9 - 4x_{10} &=& 12,\\ -6x_1 + 7x_2 - 8x_3 + 9x_4 - 10x_5 + x_6 - 2x_7 + 3x_8 - 4x_9 + 5x_{10} &=& -9,\\ 7x_1 - 8x_2 + 9x_3 - 10x_4 + x_5 - 2x_6 + 3x_7 - 4x_8 + 5x_9 - 6x_{10} &=& 14,\\ -8x_1 + 9x_2 - 10x_3 + x_4 - 2x_5 + 3x_6 - 4x_7 + 5x_8 - 6x_9 + 7x_{10} &=& -11,\\ 9x_1 - 10x_2 + x_3 - 2x_4 + 3x_5 - 4x_6 + 5x_7 - 6x_8 + 7x_9 - 8x_{10} &=& 16,\\ -10x_1 + x_2 - 2x_3 + 3x_4 - 4x_5 + 5x_6 - 6x_7 + 7x_8 - 8x_9 + 9x_{10} &=& -13 \end{eqnarray*} \]

👉 Linear Algebra
with the help of 💻

Credits